Massefart
Hverdagslig er massefart definert som masse ganger farten av objektet . Ved LHC beveger alle partiklene både før og etter kollisjonen seg imidlertid nær lysets fart (v=0,999999991c for akselererte protoner). Du må derfor benytte Einsteins spesielle relativitets teori, som gir en formel for massefart som er litt mer komplisert men likevel håndterbar.
Vi starter med Einsteins berømte formel

Her står E for energi, p for massefart, m for masse og c for lyshastigheten. Massefart er en vektor med tre projeksjoner på tre akser (x,y,z), og hvis du ikke vet hva en vektor er, følg Vektorer.
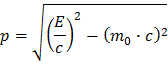
Hvis du gjør litt algebra (bare flytting rundt på formelens elementer) kan du uttrykke massefart som funksjon av energi og masse:

I naturen er massefart konservert. Det betyr: Det som går inn må komme ut, som i våre partikkel kollisjoner betyr at pfør=petter. For et Z boson som henfaller til et elektron-positron par betyr dette at pZ = pe- + pe+.
Quiz-spørsmål: I hverdags-versjonen av massefart p=mv får vi et problem når vi treffer på masseløse objekter som fotonet, deres massefart ville bli 0. Hva skjer med massefarten for masseløse partikler i den spesielle relativitets versjonen av massefart?