Søk og oppdag med masserekonstruksjon
I dette avsnittet vil du bli kjent med de siste redskapene du trenger for å kunne fortsette med analysen din, nemlig de fysiske metodene og de matematiske teknikkene som brukes. Med disse vil du kunne gjenoppdage Z-bosonet og andre kjente partikler, søke etter Higgs-bosonet og, sist men ikke minst, utforske det ukjente!
Trikset du vil bruke for å være ganske sikker på at partikkelen du leter etter faktisk ble produsert i kollisjonen, er ikke bare å gjenkjenne henfallsproduktene, slik som myon-antimyon, elektron-positron eller foton-foton par, men også å rekonstruere massen til den henfalte partikkelen.
Du skjønner, masse er en egenskap ved partikkelen som, sammen med andre egenskaper, kan brukes til unikt å identifisere den.
For å forstå hvordan du rekonstruerer masse trenger du å hvite hva eV (elektron Volt) er, hva massefart er og hva en vektor er. For ytterligere detaljer følg linkene Energienheter, Massefart eller Vektorer.
Vi skal bruke Einsteins masse-energi-formel i en litt mer fullstendig form og en fundamental naturlov: Energi og bevegelsesmengde er alltid bevart. Det betyr at deres mengder før og etter kollisjonen, eller henfallet, er de samme.
På neste side forklarer vi en nyttig formel som vil gjøre det mulig for oss å beregne massen til en henfalt partikkel dersom visse parametere er kjent.
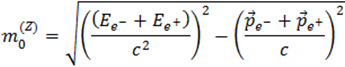
Slik vil formelen se ut for et Z-boson som har henfalt til e+e-!

I denne nydelige formelen er m0 masse, E er energi, p er bevegelsesmengde, og c er lyshastigheten. Med de senkede indeksene e og Z menes henholdsvis elektron og Z-boson.
Hvordan vil du søke etter Higgs-bosonet? Fordi til elektroner og myoner fra et Standardmodell Higgs-boson er veldig usannsynlig, er det bedre å lete etter eventer med to fotoner eller fire leptoner.
Dermed kan man for H→γγ bruke formelen over ved å bytte ut Z med H og e med γ.
For H→llll kan vi bruke samme formel, bytte ut Z med H, og summere energien og bevegelsesmengden til fire partikler istedenfor to. Ganske enkelt, ikke sant?
Gå til neste side og lær mer!