Masserekonstruksjon
Hold deg fast! Du er nå i ferd med å fordype deg i viktige fysiske konsepter!
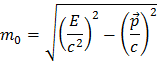
I den mer fullstendige versjonen av Einsteins formel , er E energien til partikkelen, p dets bevegelsesmengde og m0 partikkelens masse når den er i ro. Det forholder seg slik at denne definisjon av masse er bevart i naturen. Omskrivning av formelen gir:

Siden denne størrelsen er bevart kan vi bruke den til å finne massen til den henfalte “moder”-partikkelen: Du måler energien og bevegelsesmengden til henfallsproduktene, og siden det som går inn må komme ut, kan massen til “moder”-partikkelen beregnes. Ganske rett fram og enkelt, er det ikke?
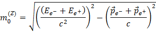
For tilfellet at et Z boson henfallt til et elektron (e-) -positron (e+) par vil summen av energier og massefarter for elektronet og positronet lede til massen av Z bosonet på følgende måte:

Energien og bevegelsesmengden til Z-bosonet, EZ=Ee- + Ee+ og , er derfor kjente størrelser siden ATLAS-detektoren kan måle energien og bevegelsesmengden til henfallsproduktene. Dette betyr at du har alt du trenger for å finne massen til Z-bosonet eller andre partikler slik som J/ψ og Υ!
Det er faktisk slik at den såkalte invariant-masse-metoden fungerer for en rekke kombinasjoner av henfallsprodukter, deriblant γγ, l+l- (l=e,μ), l+l-l+l-. Dette vil du se når du skal studere Z-bosonet, søke etter Higgs-bosonet eller til og med utforske det ukjente!