Vektorer
Du har kanskje lagt merke til at det er en pil over massefarten: . Du vet at hverdags definisjonen av massefart er masse ganger fart:
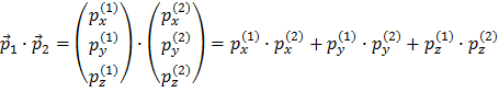
og du ser at fart også er angitt med en pil. Det betyr at det er en vektor. Og med en vektor mener vi at den både har en størrelse og en retning i rommet. Dette er naturlig siden om du har en bestemt fart så beveger du deg i en bestemt retning, som gir hastighet. Når vi behandler vektorer matematisk må vi gjøre det på en spesiell måte. Vi må dekomponere vektoren som peker i en tilfeldig retning i rommet, til hvor mye den peker i de valgte retningene x, y og z i vårt koordinat system. Så en multiplikasjon mellom to massefarter vil bli en skalar, dvs en tallverdi uten retning:

Det er ingen komponenter som blander en retning med en annen siden disse er 0. Observer også at det ikke er piler over resultat-leddene. dette fordi (skalar) produktet av to vektorer bare er et tall (en skalar), som betyr at den ikke har noen retning.